Math
[Calculus] 테일러 급수
SweetDev
2020. 12. 15. 01:32
* 수학 전공자가 아니므로 엄밀하지는 않습니다. 재미로 봐주세요
정리를 할까 말까 고민을 많이 했는데, 테일러 급수가 머신러닝의 최적화 과정을 수행할 때 활용된다는 점을 듣고 미래의 나를 위해 기록해 두기로 한다.
고등학교때도 테일러 급수에 대해서 살짝은 배웠지만 테일러 급수는 대학 미적분학에서 제대로 다루기 시작한다.

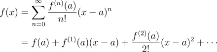
테일러 급수의 가장 큰 의의는, 어떤 다항식을 급수 형태로 바꿀 수 있다는 것이다.
매클로린 급수는, 저 식에서 a=0인 경우이다. 즉, x^n 형태로 식을 전개하면 매클로린 급수인 것이다.
테일러 급수가 머신러닝 어떤 부분에서 쓰이는지 궁금하다면 참고하세요