Math
[Calculus] laplacian(라플라시안)
SweetDev
2021. 9. 13. 12:41
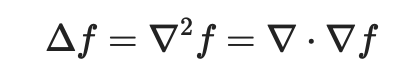
유클리드 공간에서 두 번 미분할 수 있는 스칼라 함수 에 대하여 라플라시안(laplacian)은 에 대한 그레디언트의 발산으로 정의되며 수식으로 표현하면 다음과 같다.
