티스토리 뷰
트리를 사용해서 '집합'을 표현해보자
집합의 모든 원소는 0, 1, 2, ..., n-1이라고 가정한다.
모든 집합은 disjoint된다고 가정한다. (각각 집합들끼리 겹치는 원소가 없음)
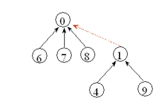
얘는 0~9인 예제이다.

집합에 대해 수행하고자 하는 연산은 다음 두 가지이다.
(1) disjoint set union
(2) find(i)
(1)은 A∪B를 할 수 있다는 의미, 즉
(2)는 원소 i가 속한 집합을 리턴받는거 가능
A∪B을 하려면 어케 할까...
두 트리중 하나를 다른 트리의 서브트리로 만들면 된다.
저 위에 그림에서 S1 ∪ S2를 하려고 하면,

하면 되는것처럼 말이다!


두가지 함수를 짜보자!
void simpleUnion(int i, int j){
parent[i] = j;
}
int simpleFind(int i){
for (;parent[i]>=0; i=parent[i]) ;
return i;
}
얘네의 성능을 분석해보자.
simpleUnion( )

여기서 find(0), ....find(n-1)까지 하면 재귀적으로 호출되서 1+2+...== n^2를 따르게 된다.
변질트리의 생성을 피하려면, union과 find 연산을 좀 더 효율적으로 구현할 수 있는 방법을 고려해야 한다. 이는 union(i, j)에 weighting rule을 적용해서 해결할 수 있다고 한다.
[weighting rule] root i를 가진 트리의 노드 수가 root j를 가진 트리의 노드 수보다 적으면 j를 i의 부모로 만들고, 그렇지 않으면 i를 j의 부모로 만든다 .
weighting rule을 반영해서 다시 짠 union함수가 weightUnion()이다.
void weightUnion(int i, int j){
/* union the sets with roots i and j, i!=j, using the weighting rule.
parent[i] = -count[i] and parent[j] = -count[j] */
int temp = parent[i] + parent[j];
if (parent[i] > parent[j]){
parent[i] = j;
//j를 새로운 루트로 설정한다
parent[j] = temp;
}
else{
parent[j] = i;
//i를 새로운 루트로 설정한다
parent[i] = temp;
}
}
??...코드가 뭔소린지 모르겠다....
'Algorithm > 이론' 카테고리의 다른 글
| [자료구조] 그래프/ DFS(depth-first search) 코드 (0) | 2019.06.10 |
|---|---|
| [자료구조] 그래프 (0) | 2019.06.08 |
| [자료구조] forest/traverse (0) | 2019.06.08 |
| [자료구조][C언어] selection tree- winner tree, loser tree의 구현 (2) | 2019.06.08 |
| [자료구조] 트리/Sollin's Algorithm (0) | 2019.06.03 |