티스토리 뷰
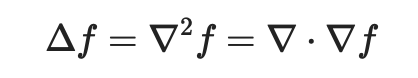
유클리드 공간에서 두 번 미분할 수 있는 스칼라 함수 에 대하여 라플라시안(laplacian)은 에 대한 그레디언트의 발산으로 정의되며 수식으로 표현하면 다음과 같다.

'Math' 카테고리의 다른 글
| := ???? (0) | 2021.08.12 |
|---|---|
| 벡터 계산 성질 (0) | 2021.06.22 |
| [Calculus][ML] Hessian (0) | 2020.12.15 |
| [Calculus] 테일러 급수 (0) | 2020.12.15 |
유클리드 공간에서 두 번 미분할 수 있는 스칼라 함수 에 대하여 라플라시안(laplacian)은 에 대한 그레디언트의 발산으로 정의되며 수식으로 표현하면 다음과 같다.

| := ???? (0) | 2021.08.12 |
|---|---|
| 벡터 계산 성질 (0) | 2021.06.22 |
| [Calculus][ML] Hessian (0) | 2020.12.15 |
| [Calculus] 테일러 급수 (0) | 2020.12.15 |